Estimating Taxon-Environment Relationships: Environmental Limits
Environmental Limits
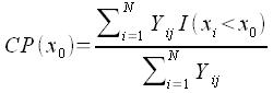
Taxon-environment relationships expressed in terms of environmental limits attempt to capture the maximum or the minimum level of an environmental variable under which a taxon can persist. Environmental limits can be estimated by computing cumulative percentiles (CPs) from field data. An empirical CP is estimated for a given value of the environmental variable, x0 , as follows (Equation 2):


