Geomechanical (Engineering) Properties
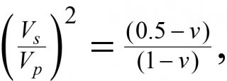
Seismic velocities can be related to standard geotechnical properties. For example, Poisson's ratio ν can be found from:

(1)
Figures 1 and 2 show the S and P wave velocities of seismic waves for a number of different rock types.


The pages found under Properties are substantially based on a report produced by the United States Department of Transportation:
Wightman, W. E., Jalinoos, F., Sirles, P., and Hanna, K. (2003). "Application of Geophysical Methods to Highway Related Problems." Federal Highway Administration, Central Federal Lands Highway Division, Lakewood, CO, Publication No. FHWA-IF-04-021, September 2003.
