SAM Background
In support of Selected Analytical Methods for Environmental Remediation and Recovery (SAM), EPA periodically assembles methods experts from within EPA, as well as other federal, state and local agencies; public utilities; national laboratories; and academia, to review and, if necessary, revise the methods listed. SAM analytes are included based on selection criteria that address the needs and priorities of EPA as well as other federal agencies (e.g., environmental persistence, half lives, availability, and toxicity). The sample types listed in SAM are specific to each technical section and have been determined by SAM technical work groups to be a concern during site remediation. SAM identifies a single method (or method group) for each analyte/sample type to ensure a consistent analytical approach across multiple laboratories when analyzing environmental and building material samples.
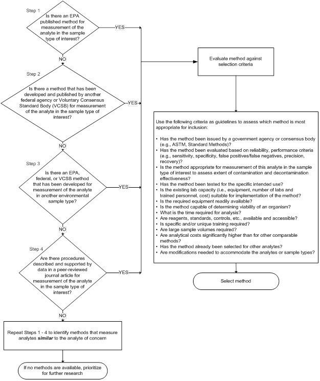
Method selection is based on consideration of specific criteria that emphasize method performance and include existing laboratory capabilities, laboratory capacity, method applicability to multiple sample types, and method applicability to multiple analytes. For some analytes, the preferred method is a clear choice; for others, competing criteria make the choice more difficult. Final method selections are based on technical recommendations from the work groups under the direction of EPA’s Homeland Security Research Program (HSRP). For analytes where limited laboratory capability exists, methods are selected based on their applicability to similar analytes. In these cases, laboratory studies to evaluate the ability of the selected method to measure the target analyte(s) are either underway or needed. Method usability tiers are assigned to provide an indication of the applicability of the methods that have been selected to address the chemical, pathogen and biotoxin analytes (i.e., the extent to which the methods have been tested and applied for analysis of the specific analyte and sample type(s) for which they have been selected).
Figure 2-1 summarizes steps and provides the criteria used during the method selection process. It is important to note that the method selection criteria included in this figure are listed in non-hierarchical order and, in some cases, only a subset of the criteria was considered when selecting methods.
Since 2004, the National Homeland Security Research Center (NHSRC) has brought together experts from across EPA and other interested agencies to develop this compendium of analytical methods to be used when analyzing environmental samples, and to address site characterization, remediation and clearance following homeland security-related contamination incidents. Participants have included representatives from EPA program offices, regions, and laboratories; U.S. Centers for Disease Control and Prevention (CDC), Food and Drug Administration (FDA), Department of Homeland Security (DHS), Federal Bureau of Investigation (FBI), Department of Defense (DoD), Department of Energy (DOE), Department of Agriculture (USDA), Geological Survey (USGS) and Department of Commerce (DOC); and numerous state agencies, municipalities and universities. Methods and protocols are considered for chemical, radiochemical, biological and biotoxin agents of concern in the types of environmental samples that would be anticipated, including outdoor building and infrastructure materials containing radiochemical contamination. Work groups have also begun considering methods that might be needed to address waste generated during site decontamination and the analytical impacts of decontamination agents.
-
National Environmental Methods Index (NEMI) and NEMI for Chemical, Biological and Radiological Methods (NEMI-CBR)
- Environmental Monitoring Method Index (EMMI)
- EPA Test Methods Index
- EPA Office of Water Methods
- EPA Office of Solid Waste SW-846 Methods
- EPA Microbiological Methods
- National Institute for Occupational Safety and Health (NIOSH) Manual of Analytical Methods (NMAM)
- Occupational Safety and Health Administration (OSHA) Index of Sampling and Analytical Methods
- AOAC International
- ASTM International
- International Organization for Standardization (ISO) methods
- Standard Methods for the Examination of Water and Wastewater (SM)
- Scientific Literature
The primary objective of this effort is to support EPA’s ERLN and WLA by identifying appropriate methods that represent a balance between providing existing, documented techniques and providing consistent and analytical results of known quality. Since publication of Revision 1.0 in September 2004, NHSRC has continued to convene technical work groups to evaluate and update the analytes and methods that are listed. Details regarding changes that have been incorporated into each revision are provided in SAM Revision Tracking Information.
The 2012 revision reflects a title change agreed to by stakeholders (i.e., EPA’s HSRP; Office of Groundwater and Drinking Water [OGWDW], Water Security Division [WSD] and WLA; Office of Emergency Management and ERLN; Office of Radiation and Indoor Air [ORIA]; and Regional Offices) during a 2010 Summit, to better reflect its focus on providing selected analytical methods for use across multiple laboratories during environmental remediation and recovery. The current revision (2017) includes the addition of outdoor building and infrastructure materials as sample types in the radiochemistry sections; the addition of soil as a sample type in the pathogens sections; the assignment of method applicability tiers for methods selected for pathogen and biotoxin analytes; several new methods added or replaced for chemical, radiochemical, pathogen and biotoxin analytes; the addition of several new analytes to each of these technical sections (chemistry, radiochemistry, pathogens and biotoxins); and considerations regarding the potential impacts of decontamination agents on the analytical performance of selected radiochemical methods.
In addition to updating analytes and methods, work groups identified areas for development of companion documents to provide information regarding sample collection, rapid screening and preliminary analysis equipment, and sample disposal to supplement the selected analytical methods. The information listed in the companion documents generally corresponds to the analytes and methods in this document, and are updated as needed and as resources allow. SAM Companion Documents are posted on the SAM website in SAM Companion Documents, Sample Collection Procedures and Strategies, and Sample Collection Information Documents as they become available.
Figure 2-1. Method Selection Process

