Toxics in the Food Web
Updated June 2021 based on data available through December 2020.
- About Toxics in the Food Web
- What's Happening?
- Why Is It Important?
- Why Is It Happening?
- What's Being Done About It?
- Five Things You Can Do To Help
- References
About Toxics in the Food Web

This indicator focuses on trends for two types of toxic contaminant groups: legacy contaminants and contaminants of emerging concern (also called "emerging contaminants" or "chemicals of emerging concern").
The effects of legacy contaminants, such as polychlorinated biphenyls (PCBs) and polybrominated diphenyl ethers (PBDEs), are better understood and more easily monitored in the environment over time. Contaminants that have newly-discovered effects, such as microplastics and pharmaceuticals, require further study to understand their impacts due to their presence and persistence within the Salish Sea ecosystem.
A food chain describes how each living organism is nourished. Food chains intertwine locally into food webs as most organisms consume more than one type of plant or animal. However, in addition to nutrients, contaminants can also be transferred from one level of the food chain to another and throughout the food web.
The groups of substances introduced by humans to the food web have varied over time. Metals such as mercury, cadmium, lead, and zinc, while naturally occurring, have also been unintentionally released into the environment before their harmful effects were known and are still of concern in some locations and through some exposure pathways. Concern with mercury in some seafoods is an example.
Later, the widespread use of PCBs in electrical and manufacturing equipment, and PBDEs as flame retardants in consumer products and fire-fighting films, also impacted the natural environment.
More recently, plastics, tire dusts, and pharmaceuticals have emerged as concerns due to their widespread nature, the dramatic increase in worldwide production, and the unknown consequences of their presence in the environment.
Current research provides a broad picture of how contaminants are affecting the Salish Sea food web. Although there are numerous chemicals that humans have introduced to the environment, we discuss four main contaminant groups here: metals, PCBs, PBDEs, and contaminants of emerging concern.
Many of these groups of chemical contaminants have been identified as major concerns for Salish Sea organisms, including Chinook salmon, Southern Resident Killer Whales, other marine mammals and marine birds, and species of bait fish and bottom fish.
Contaminant studies in the Salish Sea can be grouped into at least two categories:
- Long-term monitoring programs use consistent methods to look at the same contaminants over time, measuring for changes in concentrations. View a list of some of the published long-term monitoring studies in the Salish Sea.
- Focal studies collect information over a shorter period of time, to investigate more specific questions such as differences in contaminant levels associated with various land uses various (urban, industrial, or forested areas). View a list of some of the published focal studies in the Salish Sea.
Toxicological studies are also conducted to determine the effects of chemicals including whether they are affecting the survival or successful reproduction of organisms.
Bioaccumulation and Biomagnification
Bioaccumulation and biomagnification are ways organisms can be exposed to a critical amount of persistent substances. If the substance has negative effects at increasing concentrations, impacts will be seen in different ways.
When a substance is bioaccumulative, it means that an organism absorbs the contaminant from its food or the environment faster than it can excrete it, and the contaminant subsequently accumulates in its tissues. Over time, the persistent substance can impact the organism’s ability to survive and reproduce.
Biomagnification is a process where substances increase as they are carried through from prey in in fatty tissues to its predator levels. This process can continue on and is called trophic magnification. Contaminants may only be found in small amounts at the lowest levels of food webs but can still have impacts on top predators that eat large quantities of other organisms in the food web through trophic magnification.
What's Happening?
Different contaminants have different patterns of accumulation or persistence over time. Contaminant levels can be related to the amount of urbanization in Salish Sea watersheds. Highly urbanized areas have increased industrial activity and potentially more people living and working in the region, increasing the potential for introducing contaminants to the environment. Semi-rural and semi-forested areas have more natural landscapes, less industrial activity, and lower numbers of humans working and residing in these spaces, therefore the potential for human-made contamination to be introduced into the landscape is reduced.
Metals

Metal concentrations levels in the Salish Sea are associated with high accumulation zones or hot spots. Hot spots for lead, mercury, and nickel were found in areas that are highly industrialized or urbanized or concentrate stormwater runoff, including highway and transportation systems.
The loading of toxic metals in Pacific harbor seals in parts of Puget Sound are increasing over their lifetimes, which is an example of bioaccumulation. It is also possible that regional differences in metal concentrations in harbor seals might be related to food availability or food choice, or other processes unrelated to the degree of urban development surrounding seal habitat.
While concentrations of toxic metals (arsenic, cadmium, copper, tin, lead and zinc) in bivalve shellfish in Puget Sound have declined at certain sites since the 1980s, according to the U.S. National Oceanic and Atmospheric Administration’s (NOAA) Mussel Watch Program, there is a cyclical component across all of the metal trends that is likely due to precipitation and runoff patterns that mobilize contaminants from land-based sources into the nearshore areas where shellfish are sampled from.
Stormwater runoff is considered one of the biggest water pollution problems in urban areas, which has lead to the formation of the Stormwater Action Monitoring (SAM) program in Puget Sound. SAM builds on the NOAA Mussel Watch program and includes three study components:
- Status and Trends in Receiving Waters.
- Effectiveness Monitoring of Stormwater Management Program Activities.
- Source Identification Information Repository.
The status and trends in receiving waters component of SAM monitors changes in Puget Sound lowland streams and Puget Sound urban shoreline areas in relation to stormwater management. Contaminant monitoring of mussels in the urban growth areas of Puget Sound’s marine nearshore is part of SAM’s status and trends in receiving waters (see chart below).
PCBs

Many long-term monitoring studies report a decline in PCB concentrations in the Salish Sea food web over time. This pattern was found at different levels of the food web. Ocean Wise’s Ocean Watch report for coastal British Columbia reports that PCB concentrations in harbor seal pups have declined between the 1980s and 2015.
The PollutionTracker program at Ocean Wise detected PCB concentrations in all mussel samples from the British Columbia coast tested during the Phase 1 program (2015-2017) and found the highest PCB concentrations in industrialized and port areas of the Georgia Basin.
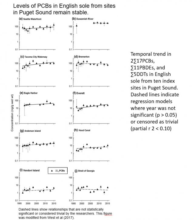
However, the Puget Sound Toxics in Fish Vital Sign, first collected in the 1990s, suggest concentrations of PCBs in some fish species tissues have not continued to decline, such as in English sole in Puget Sound (see chart below).
The Puget Sound Vital Signs work also notes that the amount of urbanization in watersheds could be related to elevated and stable PCB concentrations in Pacific herring (see chart below).
PBDEs

PBDE use began in the 1970s and continues to this day, though the main PBDE commercial mixtures have been phased out in the United States and Canada. They are found in a variety of products, such as flame retardants for furniture, mattresses, and appliances.
PBDEs can be released to the environment when products are disposed of improperly, as well as during the manufacturing process.
PBDEs concentrations in the Salish Sea food web vary over time. The most recent report for Puget Sound from the NOAA Mussel Watch program, An assessment of two decades of contaminant monitoring in the nation’s coastal zone (2009), reported stable PBDE concentrations in bivalve shellfish.
Ocean Wise’s PollutionTracker detected PBDEs in all mussel samples from the British Columbia coast that were collected in Phase 1 of the program (2015-2017). PollutionTracker found very high PBDE concentrations in the industrialized and port areas of the Georgia Basin and high concentrations in less industrialized areas.
PBDE concentrations in aquatic birds in the Georgia Basin increased and then decreased over time. PBDE concentrations in great blue heron eggs increased from 1987 to 1998, and then began to decline after 2003. Concentrations of PBDEs in double-crested cormorant eggs increased from 1979 to 1994 and began to decline after 1998 (see chart below).
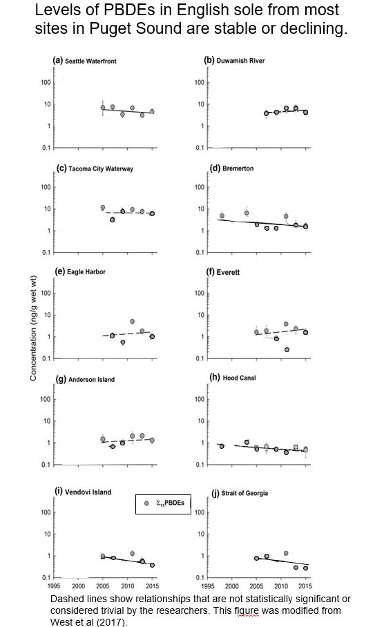
In Puget Sound, populations of Pacific herring and PBDE concentrations have been declining over time. Puget Sound English sole concentrations of PBDEs have remained stable or decreased slightly over time (1997 to 2015)(see charts below).
Plastics

The Great Canadian Shoreline Cleanup reports that the two most common categories of litter found in Canada during waterway cleanup efforts are cigarette butts (which usually contain a plastic filter) and small plastic or foam pieces.
A 2018 project at the intertidal zones of 9 beaches in the Burrard Inlet of Vancouver, British Columbia, found that 144 of 150 recovered items were made of plastic and were originally associated with food consumption and packaging. The Burrard Inlet intertidal study (2018) also noted that the many of the plastics recovered were small fragments of larger macroplastic products that are larger than 5mm size threshold for the microplastic classification.
The State of Washington’s beaches in the Salish Sea were reported to have an average weight of 1.8 ounces of plastic for every square foot (or 549.3 grams per square metre) of sandy beach (Plastic in surface waters of the Inside Passage and beaches of the Salish Sea in Washington State).
Microplastics (plastic particles smaller than 5mm in size) have also been detected in the Salish Sea, including within water column, marine sediments, and organisms. Nearshore areas had increased concentrations of microplastics in subsurface waters compared to the samples from the open ocean.
Microplastics have been detected in bivalve shellfish from the Salish Sea, although there is evidence that these organisms can “spit out” some microplastics. Microplastics have also been detected in both bottom-dwelling fish species, such as the Pacific sand lance, and in fish species that live in the open water such as juvenile Chinook salmon and Pacific herring.
Why Is It Important?
Metals
Metals are elements that occur naturally in the Earth’s crust. Some metals, such as copper, selenium, and zinc, are nutritionally essential to humans and other organisms at very small concentrations, and yet have toxic effects at higher concentrations. Other metals such as arsenic, cadmium, lead and mercury have no known nutritional benefits and can be toxic even at low concentrations.
From a management perspective, metals are concentrated by humans through industrial discharges, urbanization, and our land-based transportation systems.
Some metals that are considered toxic can cause cancer in humans. In large doses, arsenic, cadmium, lead and mercury have well-known negative effects for humans, including liver disease (arsenic), kidney problems (cadmium and mercury), and nervous system effects (lead and mercury). In the environment, metals can act on the cellular level to disrupt normal functions, make organisms more vulnerable to diseases, and may lead to early mortality.
Some metals can bioaccumulate in organisms and some may magnify in the food web, such as mercury. Metals are extracted and can be released during mining and processing operations and are widely used in the construction, manufacturing, and chemical industries. Agricultural activities can also release metals into the environment.
In the past, due to an incomplete understanding of how metals act in the environment and their long-term effects and less rigorous regulation, dangerous concentrations of several metals were released into the natural environment.
PCBs
Polychlorinated biphenyls (PCBs) are organic chemicals containing carbon, hydrogen, and chlorine atoms. PCBs are very stable chemicals that had many industrial uses due to their non-flammability and electrical insulating properties. They are so stable that when released into the environment, they do not break down completely into their component elements. PCBs are now classified as persistent organic pollutants. They also can be transported over long distances by air and water currents wildlife.
When PCBs do partially break down, they release harmful by-products that can lead to cancer, immune system effects, reproductive effects, neurological effects, and endocrine system effects. When these harmful effects were discovered in the late 1970s, PCBs were banned in several countries, including Canada and the United States.
Due to their persistence in the environment, their ability to bioaccumulate and biomagnify, and their ability to be transported far from the point of release, high concentrations of PCBs are still being found in the environment many decades after their use ended.
PBDEs
Polybrominated diphenyl ethers (PBDEs) are organic chemicals containing carbon, hydrogen, and bromine atoms. They are stable chemicals that are classified as persistent organic pollutants. PBDEs can be transported long distances by air and water currents. Some PBDEs bioaccumulate in the fatty tissues of organisms and have toxic effects.
Documented health impacts from PBDEs in marine animals include impaired brain development and behavior, so their presence in the environment is a concern.
Plastics

Plastic materials are made up of many elements, such as carbon, hydrogen, nitrogen, oxygen, silicon, sulfur, and chlorine. The elements are arranged into long chains of repeating molecules, often called polymers.
Plastic has been in production and used in the world since the early 20th century. Today there are many different types of plastic materials due to advances in polymer science, starting materials, and additives. The persistence of plastics in the environment is both an advantage and a concern.
Plastic waste found in the environment is often categorized by size. While a standardized system is not fully in place, most current research considers macroplastics as larger than five millimeters in size and microplastics as less than or equal to five millimeters in size.
Research on microplastics is an emerging field and there is still not much known about the impact that microplastics are having on both the environment and human health. Macroplastics and microplastics have been found all over the world, including remote locations.
Plastics have negative impacts on animals such as entanglement by macroplastics, which is one of the first problems with plastics that gained media attention. Other potential negative impacts include starvation (meaning organisms that eat plastics might not eat enough food to stay healthy), the physical blockage of internal organs, and the ability for plastic to transport other harmful pollutants and toxins to organisms.
The full impacts of plastics on food webs globally are not known, and this is one focus of research efforts. Currently much of the published work focuses on detection of plastics in different levels of the food web. More studies that investigate the potential impacts of plastics on Salish Sea organisms’ ability to survive and reproduce will likely follow in the future.
Worldwide plastic production is projected to continue to increase. It will therefore be crucial to monitor the prevalence, distribution, and possible impacts of plastics into the future.
Contaminants released into the environment likely have both individual effects and compound effects when present with other contaminants or other stressors. The interactions of among contaminants is not well known within the Salish Sea and is a priority for future research.
Currently, researchers expect to find interactions between climate change pressures and pollutants such as PCBs and mercury. Increased understanding of the interactions of contaminants is needed to support the protection of species in the Salish Sea ecosystem – including humans.
Other Emerging Contaminants
Endocrine Disrupting Chemicals
There are several additional endocrine disrupting chemicals (EDCs) that researchers continue to study in the Salish Sea that we did not include in our “What’s happening?” section above. These substances still pose risks to organisms.
EDCs are substances that affect how hormones are produced or function within an organism. Interference or mimicry of hormone activity can harm organisms’ growth, development, and reproduction, which all can have impacts on a population and community level. Many substances can interfere with the endocrine system in an organism, including metals and other chemicals synthesized for industrial use such as PCBs, PBDEs, and chemicals associated with plastic products.
Known EDCs such as dichlorodiphenyltrichloroethane (DDT), per- and polyfluoroalkyl substances (PFAS), dioxins and furans, and polycyclic aromatic hydrocarbons (PAHs) are monitored because of their long persistence time and their endocrine-disrupting and other known harmful effects.
DDT
Some substances are now banned or are only permitted under strictly controlled use in many countries world, such as organochlorine insecticides like DDT. DDT is a nerve poison that is used to control insects that spread illnesses such as malaria and yellow fever. The production and use of DDT is now banned in North America. Concentrations of DDT are still monitored in North America as DDT can be transported in the atmosphere and because it is persistent, bioaccumulative, and has toxic effects.
PFAS
PFAS are used in many industrial and consumer products. Many types of PFAS are no longer produced by the chemical industry in the United States, however these substances will persist in the environment and have negative effects on human health at higher concentrations.
Dioxins and Furans
Dioxins and furans are shortened names for two families of substances often grouped together. These chemicals are also called polychlorinated dibenzo-para-dioxins (PCDDs) and polychlorinated dibenzofurans (PCDFs). They are substances that can come from natural sources of combustion such as forest fires, from industrial manufacturing, or from burning wood products or waste. Canada and the United States regulate the creation and release of dioxins and furans. Monitoring of dioxins and furans in the Salish Sea occurs because these substances are persistent and they have carcinogenic and other endocrine-disrupting effects at higher concentrations.
PAHs
PAHs are components of gasoline, crude oil, and coal. They are also formed by incomplete burning of organic matter such as wood. The release of PAHs to the environment can happen with fuel and oil spills. Creosote treated railroad ties, power poles, and marine pilings are also a major source of PAHs to the Salish Sea. PAHs can degrade in sediments and can be metabolized in organisms but when present they do act as EDCs.
Pharmaceuticals and Personal Care Products

Chemicals used by humans, such as caffeine and prescription medications, are reaching the Salish Sea through wastewater treatment plant effluent and are making their way into the tissues of marine species and broader food webs. Examples are anti-depressants, antibiotics, and heart medications that are all being detected in juvenile Chinook salmon, at doses high enough to potentially harm them.
The possible effects of these substances on marine organisms are actively being studied. Sometimes chemicals used in consumer products (or their breakdown products) are later determined to toxic to aquatic animals.
A New Threat to Salmon: Tire Residues
Pre-spawn mortality is a phenomenon where adult salmon die before spawning when returning to freshwater streams to spawn. Urban Runoff Mortality Syndrome is a rapid onset pre-spawn mortality of coho salmon (Oncorhynchus kisutch) specifically associated with exposure to contaminants in stormwater runoff from roads.
During fall migration, salmonids pass through urban watersheds which are contaminated with stormwater runoff. As the coho salmon pass through these waters, many will show symptoms of lethargy, loss of equilibrium and disorientation, and die within a few hours of showing these symptoms. These symptoms and behaviors are prevalent after rain when stormwater runoff carries loads of contaminants associated with roads and transportation systems into local streams. A recent study by the Washington State Stormwater Center has found that a tire-related chemical is largely responsible for these adult coho salmon deaths in urban streams.
Mortality often occurs before salmon have the opportunity to spawn, which is determined by examining female carcasses and observing for unfertilized eggs. Rates of pre-spawn mortality could impact the local salmon populations. Based on model projections, if rates continue, populations of coho salmon could become extinct within the next few decades.
Learn more about the connection between tire-residues and Urban Runoff Mortality Syndrome in salmon:
- A ubiquitous tire rubber–derived chemical induces acute mortality in coho salmon (American Association for the Advancement of Science)
- Story map: Coho Urban Runoff Mortality Syndrome in Puget Sound
Sustainable Perspective

However, today, the health advisory recommends only one meal per week for Chinook, and only two meals per month for resident Chinook caught in the winter sports fishery (Source: Washington Department of Health).
Food for Us, Food for Them

Salish Sea fishes are exposed to a many contaminants, such as metals, PCBs, PBDEs, PAHs, other endocrine disrupting compounds, and chemicals of emerging concern. Toxics that bio-magnify will appear in larger concentrations at each level in a food chain.
Fish, and most notably Chinook salmon, make up the entire diets of endangered Southern Resident Killer Whales. By the time the whales and humans consume these fish, the contaminants present can be at alarming high concentrations. These contaminants can then build up in the bodies of Southern Resident Killer Whales and may cause development issues and contribute to health problems. Evidence that Southern Resident Killer Whale pregnancies are affected by the mother’s contaminant load has already been found.
To reduce your exposure to contaminants in fish, eat smaller and younger fish, as they tend to have lower concentrations of contaminants, and remove the fat and skin from fish before consumption. Also, check local fish consumption advisories and avoid eating any species of fish that is known to have higher concentrations of contaminants.
The Washington State Department of Health’s Healthy Fish Guide and Healthlink B.C.'s Mercury in Fish page contain information on concentrations of contaminants in certain fish.
Unfortunately, Southern Resident Killer Whales cannot simply choose to avoid larger, older fish, and in fact target them. Southern Resident Killer Whales will inevitably continue to accumulate contaminants through their diet.
Studies are underway to monitor contaminant concentrations in Southern Resident Killer Whales to determine which contaminants are impacting them the most. The work exploring contaminants will continue to expand as researchers find out how higher concentrations affect their populations and how other chemicals of emerging concern such as pharmaceuticals may affect fish and their predators.
Moving forward, knowing what actions we can take to reduce the exposure of Southern Resident Killer Whales to contaminants in the environment will be critical. If we work to reduce the exposure of fish and these whales to contaminants, we will also reduce the exposure at all levels of the food chain, including ourselves.
Why Is It Happening?
Human-made contaminants come from many of our industrial activities, including mining, quarrying, oil and gas extraction and combustion, manufacturing, transportation and others. Consumer products that we buy and use also contain substances that can accumulate in the environment.
Metals
There are many ways that both human-derived contaminants and naturally-occurring metals can directly or unintentionally enter the environment and affect species, food webs, and human well-being, including groundwater, surface runoff into rivers, streams and nearshore areas, atmospheric deposition, industrial and wastewater discharges, combined sewer overflows, oil and contaminant spills, and from contaminated sites.
The main sources of metal contamination in the Salish Sea are metal mining and smelting activities that used to occur historically in the Howe Sound, Texada Island, and Tacoma areas, and also from releases in urban wastewater effluent and natural geologic sources carried in river runoff.
Lead and mercury levels in the sediments strongly correspond to past and current mining operations, while some of the cadmium contamination in the Strait of Georgia has been linked to municipal wastewater discharges, among other potential natural sources. Other sources of metal contamination include the river runoff from geologic sources in British Columbia, and releases from use of aviation gasoline and road dust.
PCBs and PDBEs
Synthetic contaminants tend to be concentrated near areas of high human activity and industrial sites. PCBs and PBDEs in the Salish Sea are transported through a number of the pathways mentioned above, with the highest estimated loadings of PCBs to Puget Sound coming from stormwater, and the highest loadings of PBDEs from wastewater discharges. While wastewater effluent is still a significant source of PDBEs, the transport of PCBs in wastewater is now minor.
PBDEs and PCBs can be transported significant distances beyond the source of pollution by other means, such as air and water currents, and have been found in remote locations where no PCB or PBDE manufacturing or usage has ever been recorded. They also settle into the sediment where they can remain unless the sediment is disturbed and redistributed.
A likely factor in the elevated levels of PCBs and PDBEs in the southern Puget Sound is the semi-enclosed nature of the Sound. This area experiences limited tidal exchange and low sedimentation rates, which means that contamination is not buried quickly and may remain in the food web for longer periods. Organisms in Puget Sound also tend to stay as residents in the area and the small home ranges can lead to more exposure to contaminants over time.
Plastics
Macroplastics are part of the average person’s daily life. Plastic packaging is the largest contributor of plastic waste generated in Canada and the United States. Single-use plastic items (bags, straws, and bottles) that originate on land also contribute to marine plastic pollution through littering.
Microplastics can be manufactured for use at the five milimeter size or smaller (called a primary microplastic) or they can be generated when larger plastic materials break down into tiny pieces that eventually become classified as secondary microplastics. Microplastic waste can come from many sources such as consumer products made of synthetic textiles or from electronic equipment.
Marine macroplastic and microplastic pollution have many sources, including abandoned, lost or discarded fishing gear, wastewater effluent, stormwater drains, and accidental spills. Accidental releases of plastics into the marine environment can occur along transportation routes if cargo shipments of raw plastic pellets or plastic products are lost or spilled while in transit to their intended destinations.
Microplastic waste can be transported by stormwater runoff and sewage outflows. It is now known that synthetic textiles shed and release plastic microfibers when they are washed. Atmospheric transport of microplastics can also occur. The generation and transport of automobile and aviation tire particles via air has been observed.
Microplastics in marine surface waters can sink downward in the water column and become embedded in sediments and where they can remain until those sediments are disturbed, such as through storms. Research is still underway to understand the time needed for various plastics to degrade in the environment.
What's Being Done About It?
The following links exit the site
Early Control in Canada and the U.S.
Toxic metals were among the first substances managed under Canadian and American federal environmental legislation enacted in the 1970s. Metals with toxic effects, such as lead and mercury are now identified as inherently toxic under the Canadian Environmental Protection Act, 1999 (CEPA). Mercury, and lead are regulated under both the Clean Water Act of 1972 and the Toxic Substances Control Act (TSCA) of 1976 in the United States.
PCBs were also phased out of production and use in North America starting in the late 1970s when industry voluntarily stopped manufacturing in North America in 1977. The manufacture of PCBs was prohibited in 1979 under the TSCA in the United States. In Canada, PCBs were regulated under the Environmental Contaminants Act, 1976. Importation of PCBs into Canada was prohibited in 1980. Residual products with PCBs must be handled and stored according to the PCB Regulations (SOR/2008-273) enabled under CEPA.
In the U.S.
EPA provides information about PCB cleanup sites in Region 10 and guidance on how to handle PBCs in old products is available for proper disposal and storage.
In 2006, EPA prohibited the domestic manufacture or the import of PBDEs manufactured elsewhere after December 2004. This measure was a complement to the voluntary phase-out of the chemicals by their manufacturers. In 2009, EPA released the PBDEs Action Plan. In 2012, the EPA amended its regulation rule for PBDEs under TSCA and now there are notification requirements prior to the U.S. manufacture or import, for any use, of three commercial mixtures of PBDEs.
Toxics in Fish Implementation Strategy
Development of the Toxics in Fish Implementation Strategy was started in 2019, under funding by EPA's National Estuary Program. This collaboration included the Stormwater Strategic Initiative, the Washington State Department of Ecology, supporting Interdisciplinary and Core Teams, University of Washington’s Puget Sound Institute, the Puget Sound Partnership, the Washington Stormwater Center, and the Washington State Department of Commerce.
The implementation strategy presents a recovery plan for reducing the concentrations and impacts of contaminants on Puget Sound aquatic life and the people who consume these marine resources. It includes strategies that will identify, prevent, mitigate, and cleanup contaminants in aquatic life throughout Puget Sound.
Strategies discussed in the implementation strategy include:
- Identifying and prioritizing contaminants of emerging concern to focus on those that are most likely to cause harm.
- Promoting the replacement or “swap-out” of products that contain legacy contaminants such as transformers (a source of PCBs), flame retardant supplies (PBDEs), or existing infrastructure components (such as creosote pilings and railway ties that contain PAHs).
- Finding and fixing contamination "hotspots" which are places where monitoring programs identify a high concentration of contaminants.
- Redeveloping lands used for industrial purposes in the past with cleanup as one of the prioritized re-development goals.
- Accelerating the cleanup of contaminated areas in the water or nearshore, such as urban bay areas.
This new implementation strategy will build on efforts to control and remove contaminants that is occurring now at the local, state, federal and tribal levels. These actions include Chemical Action Plans developed by the Washington Department of Ecology and the work of the Southern Resident Killer Whale Task Force regarding the threat of toxic contaminants.
Other collections of contaminants research for portions of the Salish Sea cover ongoing studies not yet published, or related work by researchers. The Toxics Monitoring Synthesis series from the Puget Sound Ecosystem Monitoring Program is one resource to consult for more information on emerging research.
In Canada
Today in Canada, CEPA continues to enable the risk management of many metals, PCBs, PBDEs, and other substances that have been determined to have toxic effects. PBDEs were assessed and are managed under CEPA. The objectives of Canada’s management of PBDEs aims to prevent their manufacture, import and export in Canada. Canada also takes action to minimize their release into the environment, even for PBDEs that come to Canada in imported products.
Schedule I to CEPA lists substances that have been found to pose risks to human health or the environment, and that require risk management. PBDEs were added to the List of Toxic Substances in Schedule I of CEPA starting in 2006 with full regulations on the commercial mixtures of PBDEs in place by 2013.
The Chemicals Management Plan (CMP) works to identify and manage the risks of chemical substances used in households and industries in Canada. The CMP was launched in 2006 and joined several government efforts to assess and manage, where appropriate, over 4,000 priority substances that were already present in Canada.
The New Substances program in Canada similarly addresses substances being newly introduced to Canada. The CMP, now in its third phase, is systematically assessing the remaining 1550 chemicals from the original priority list, and continues to address new chemicals before they enter the market.
To support the adoption of safer chemicals in Canadian industries, Health Canada and Environment and Climate Change Canada consulted with industry, health professionals, and academics to explore how substitution may be adopted to transition away from harmful chemicals.
For federally-owned sites with contamination from historic use, Canada’s Federal Contaminated Sites Action Plan (FCSAP) works to remediate sites identified as concerns to public health. In the most recent phase of FCSAP, Canada is investing over $1 billion Canadian dollars in remediation and site assessment activities.
For contaminants affecting marine life, including the Southern Resident Killer Whales, Environment and Climate Change Canada led the Contaminants Technical Working Group (TWG), created by the Government of Canada under the Whales Initiative. Among the accomplishments of the Technical Working Group, the major contaminants affecting SRKWs were identified and prioritized and several recommendations for future areas of work related to contaminants were identified:
- Develop and implement controls of contaminants.
- Continue to conduct research and monitoring of contaminants in the environment.
- Share data, information and knowledge among partners.
- Educate, engage, and perform outreach to the public about the solutions to contamination issues.
While many harmful chemical substances are controlled or prohibited under regulations, there is still a need to monitor the Salish Sea to track levels of contaminants, and for some areas, to establish baseline values for the first time, as recommended by the Whale Initiative Contaminants Technical Working Group.
Ocean Wise’s PollutionTracker program has started to collect contaminant data for bivalve shellfish (and in sediment) in the Strait of Georgia, including concentrations of a few of the most toxic metals, PCBs, PBDEs, and other contaminants of concern.
Plastics – A Contaminant of Concern
In Canada and the U.S., the fate of plastics in the environment has grown to be a major concern.
EPA held a Microplastics Expert Workshop in June 2017 that identified what information is needed to understand the risk of microplastics to human and ecosystem health. Research and a modeling project that predicted microplastic hotspots in the Salish Sea was supported by the EPA from 2017 to 2018.
Starting in 2018, Canada has developed or supported several initiatives focused on plastics in the environment. In June 2018, Canada was one of the nations that adopted the Ocean Plastics Charter to demonstrate their commitment to address the problem of plastics in the marine environment.
To address the amount of plastic microbeads entering both Canadian freshwater and marine ecosystems, Canada prohibited the manufacture and import of all toiletries that contain plastic microbeads beginning on July 1, 2018. The complete ban came into effect on July 1, 2019.
In November 2018, the Canadian federal, provincial, and territorial governments developed the Canada-wide Strategy on Zero Plastic Waste. This strategy supports industrial innovation to combat plastic waste and supports making changes to the lifecycle of plastic products.
The Canadian government also supported the G7 Innovation Challenge to reduce marine litter and Canada’s Plastics Challenge in September 2018, designed to help inspire Canadian companies to reduce plastic waste by assessing how plastic is made, used, transported, removed from the environment, and recycled across its lifecycle. The winners of the first round of Canada’s Plastics Challenge were revealed in 2020, and six additional challenges were announced at the same time.
In October 2020, Canada released the Science Assessment on Plastic Pollution. The assessment summarizes the current science of the effects of plastic pollution on the environment and human health and describes potential directions for future research in Canada. On October 7, 2020, Canada announced that it is moving to ban several types of single-use plastic by 2021.
In 2019 and 2020, Puget Soundkeeper surveyed the Puget Sound region and identified sites contaminated with microplastics.
In March 2020, the Reusable Bag Act was passed by the Washington State Legislature, banning retailers from giving consumers plastic bags that are not reusable or compostable and furthers the controls from the existing plastic bag ordinances that were already in place in the State of Washington. Other legislation for consumer plastic straw use is also being considered.
Learn More
Learn more about some of the work our partners are doing to monitor and reduce toxics in the Salish Sea:
- Puget Sound Partnership Vital Signs: Toxics in Fish
- Puget Sound National Estuary Program Toxics in Fish Implementation Strategy
- Washington Department of Ecology Waste and Toxics Programs
- U.S. Toxics Release Inventory Fact Sheet for Puget Sound-Georgia Basin
- Canada's National Pollutant Release Inventory Downloadable Databases
- Puget Sound Partnership - Puget Sound Ecosystem Monitoring Program (PSEMP)
- Pacific Northwest National Laboratory - Simulating Microplastics Transport in the Salish Sea
- Canada’s Plastics Science Agenda
- Canadian Science Symposium on Plastics Report (PDF)(30 pp, 489 K, November 2018, About PDF)
- Canada’s Proposed Integrated Management Approach to Plastic Products
- Government of B.C. – What We Heard on Marine Debris (PDF)(20 pp, 466 K, February 2020, About PDF)
- Commission for Environmental Cooperation – Building Community Solutions to Marine Litter: Salish Sea Watershed Case Study (PDF)(4 pp, 3.7 MB, About PDF)
- 2020 Southern Resident Killer Whale Contaminants Technical Working Group Accomplishment Highlights and Recommendations
Five Things You Can Do To Help
- Limit or eliminate your use and release of harmful chemicals. Many products are available for use at home for gardening, in the workshop, or for household cleaning now have “environmentally-friendly” versions. As well, using landscaping techniques such as natural vegetation, rain gardens, rain barrels, green roofs and permeable paving. These help reduce the need for chemical fertilizers and reduce runoff into ditches and storm drains.
- Dispose of oil and other auto wastes at your local recycling location or hazardous waste collection facility if you maintain your own car. Be sure your car is not leaking oil that can run off streets and into waterways.
- If you're a boater, make sure fuel goes only in your tank – not in the water. Don't fill your tank to capacity – leave room for expansion, especially during warm weather.
- Work with your family and community to minimize your single-plastic product use and reduce the release of microplastics in wash water by using or installing water filtering devices.
- Do your part to dispose of unused medicine and chemicals properly. Never dump into household toilets and sinks or outside where they can get into ditches or storm drains. See if your community has a household hazardous waste drop-off facility that will take your old or unused chemicals.
References
Below is a listing of references used in this report.
- Alava, J.J., Lambourn, D., Olesiuk, P., Lance, M., Jeffries, S.J., Gobas, F.A.P.C., and Ross, P.S. 2012. PBDE flame retardants and PCBs in migrating Steller sea lions (Eumetopias jubatus) in the Strait of Georgia, British Columbia, Canada. Chemosphere 88:855-864.
- Alava, J.J., Cheung, W., Ross, P.S., Sumaila, R. 2017. Climate change-contaminant interactions in marine food webs: Toward a conceptual framework. Global Change Biology 23(10):3984–4001.
- Ashley, E.A., Olson, J.K., Raverty, S., Wilkinson, K., and Gaydos, J.K. 2020. Trace element concentrations in livers of Pacific harbor seals (Phoca vitulina richardii) from San Juan County, Washington, USA. Journal of Wildlife Diseases 56(2):429-436.
- Black, R.W., Barnes, A., Elliot, C., and Lanksbury, J. 2018. Nearshore sediment monitoring for the Stormwater Action Monitoring (SAM) Program, Puget Sound, western Washington: U.S. Geological Survey Scientific Investigations Report 2018-5076, 53 p., https://doi.org/10.3133/sir20185076
- Brandenberger, J.M., Crecelius, E.A., Louchouarn, P. 2008. Historical Inputs and Natural Recovery Rates for Heavy Metals and Organic Biomarkers in Puget Sound during the 20th Century. Environmental Science & Technology 42(18):6786-6790 DOI: 10.1021/es703099c
- Canadian Council of Ministers of the Environment. 2001. Canadian sediment quality guidelines for the protection of aquatic life: Polychlorinated biphenyls (PCBs). Updated. In: Canadian environmental quality guidelines, 1999. Canadian Council of Ministers of the Environment, Winnipeg. http://ceqg-rcqe.ccme.ca/download/en/295
- Chamas, A., Moon, H., Zheng, J., Qiu, Y., Tabassum, T., Jang, J.H., Abu-Omar, M., Scott, S.L., Suh, S. 2020. Degradation Rates of Plastics in the Environment. ACS Sustainable Chem. Eng. 8,9, 3494–3511.
- Chen, M.F., O’Neill, S.M., Carey, A.J., Conrad, R.H., Stewart, B.A., Snekvik, K.R., Ylitalo, G.M., Hershberger, P.K., 2018. Infection by Nanophyetus salmincola and Toxic Contaminant Exposure in Out-migrating Steelhead from Puget Sound, Washington: Implications for Early Marine Survival. Journal of Aquatic Animal Health 30:103-118.
- Clark, M.A., Douglas, M., and Choi J. 2018. Ecosystems. In Biology 2e. Houston, Texas : Openstax. Retrieved from https://openstax.org/books/biology-2e/pages/46-1-ecology-of-ecosystems
- Collicutt, B., Juanes, F., and Dudas, S.E. 2019. Microplastics in juvenile Chinook salmon and their nearshore environments on the east coast of Vancouver Island. Environmental Pollution 244:135-142. doi: 10.1016/j.envpol.2018.09.137
- Covernton, G.A., Collicutt, B., Gurney-Smith, H.J., Pearce, C.M., Dower, J.F., Ross, P.S., Dudas, S.E. 2019. Microplastics in bivalves and their habitat in relation to shellfish aquaculture proximity in coastal British Columbia, Canada. Aquaculture Environment Interactions 11:357-374.
- DFO. 2019. Cumulative Effects Assessment for Northern and Southern Resident Killer Whale (Orcinus Orca) Populations in the Northeast Pacific. DFO Can. Sci. Advis. Sec. Sci. Advis. Rep. 2019/030
- Davidson, K., and Dudas, S.E. 2016. Microplastic ingestion by wild and cultured manila clams (Venerupis philippinarium) from Baynes Sound, British Columbia. Archives Environmental Contamination and Toxicology 71(2):147-56.
- Davis III, W., and Murphy, A.G. 2015. Plastic in surface waters of the Inside Passage and beaches of the Salish Sea in Washington State. Marine Pollution Bulletin 97(1-2):169-177.
- Desforges, J.-P.W., Galbraith, M., Dangerfield, N., Ross, P.S. 2014. Widespread distribution of microplastics in subsurface seawater in the NE Pacific Ocean. Marine Pollution Bulletin 79(1-2):94-99. https://doi.org/10.1016/j.marpolbul.2013.12.035
- Diamanti-Kandarakis, E., Bourguignon, J.P., Giudice, L.C., Hauser, R., Prins, G.S., Soto, A.M., Zoeller, R.T., & Gore, A.C. 2009. Endocrine-disrupting chemicals: an Endocrine Society scientific statement. Endocrine reviews, 30(4), 293–342. https://doi.org/10.1210/er.2009-0002
- Ebbesmeyer, C.C., Ingraham, W.J. 1994. Pacific toy spill fuels ocean current pathways research. Eos Transactions American Geophysical Union 75:425-432.
- Elliott, J.E., Wilson, L.K., and Wakeford, B. 2005. Polybrominated diphenyl ether trends in egg of marine and freshwater birds from British Columbia, Canada. 1979-2002. Environmental Science and Technology 39(15):5584-5591.
- ENKON Environmental Limited (Enkon), 2014. Fraser River Ambient Monitoring Program 2012 Fish Sampling Final Report. Prepared for Metro Vancouver, Burnaby, BC by ENKON Environmental Limited, Surrey, BC. 119 pages + appendices.
- Environment and Climate Change Canada and Health Canada, 2020. Draft Science Assessment of Plastic Pollution. January 2020. Available online at: https://www.canada.ca/en/environment-climate-change/services/evaluating-existing-substances/draft-science-assessment-plastic-pollution.html
- Environment Canada. 2010. Risk management strategy for polybrominated diphenyl ethers (PBDEs). Ottawa - Ontario. Final revised: August 2010. Available online at: http://publications.gc.ca/collections/collection_2014/ec/En14-115-2010-eng.pdf
- Erickson MD, Kaley RG 2nd. 2011. Applications of polychlorinated biphenyls. Environ Sci Pollut Res Int. 2011 Feb;18(2):135-51. doi: 10.1007/s11356-010-0392-1.
- Frouin H., Dangerfield, N., Macdonald R.W., Galbraith, M., Crewe, N., Shaw, P., Mackas, D., and Ross, P.S. 2013. Partitioning and bioaccumulation of PCBs and PBDEs in marine plankton from the Strait of Georgia, British Columbia, Canada. Progress in Oceanography 115:65-75.
- Gawel, J.A., Asplund, J.A., Burdick, S., Miller, M., Peterson, S.M., Tollefson, A., Ziegler, K. 2014. Arsenic and lead distribution and mobility in lake sediments in the south-central Puget Sound watershed: The long-term impact of a metal smelter in Ruston, Washington, USA, Science of The Total Environment 472: 530-537 https://doi.org/10.1016/j.scitotenv.2013.11.004.
- Garrett, C., and Ross, P.S. 2010. Recovering resident killer whales: A guide to contaminant sources, mitigation, and regulations in British Columbia. Can. Tech. Rep. Fish. Aquat. Sci. 2894: xiii + 224 p.
- Goyer, R., Golub, M., Choudhury, H., Hughes, M., Kenyon, E., and Stifelman M. 2004. Issue paper on the human health effects of metals. August 19, 2004.
- Hartmann, N.B., Huffer, T., Thompson, R.C., Hassellov, M., Verschoor, A., Daugaard, A.E., Rist, S., Karlsson, T., Brennholt, N., Cole, M., Herrling, M.P., Hess, M.C., Ivleva, N.P., Lusher, A.L., and Wagner, M. 2019. Are we speaking the same language? Recommendations for a definition and categorization framework for plastic debris. Environmental Science and Technology 53:1039-1047.
- Healthlink BC. (2019, March 29). Mercury in Fish. Retrieved July 23, 2020, from https://www.healthlinkbc.ca/healthlinkbc-files/mercury-fish
- Hipfner, J.M., Galbraith, M., Tucker, S., Studholme, K.R., Domalik, A.D., Pearson, S.F., Good, T.P., Ross, P.S., and Hodum, P. 2018. Two forage fishes as potential conduits for the vertical transfer of microfibres in Northeastern Pacific Ocean food webs. Environmental Pollution 239:215-222.
- Huang, A.C., Nelson, C., Elliott, J.E., Guertin, D.A., Ritland, C., Drouillard, K.G., Cheng, K.M., and Schwantje, H.M. 2018. River otters (Lontra canadensis) “trapped” in a coastal environment contaminated with persistent organic pollutants: Demographic and physiological consequences. Environmental Pollution 238:306-316.
- James, C.A., Lanksbury, J., Khangaonkar, T., and West, J. 2020. Evaluating exposures of bay mussels (Mytilus trossulus) to contaminants of emerging concern through environmental sampling and hydrodynamic modeling. Science of the Total Environment 70:136098. https://doi.org/10.1016/j.scitotenv.2019.136098
- James, C.A., West, J., Elliott, J., Francis, T., Roberts, T. 2020. State of Knowledge Report – Toxics in Fish Implementation Strategy. Working Draft dated 16 October 2020. Available online at: https://pspwa.app.box.com/s/q1rueyrajn7kgp7gfkal65k0h87cwcpx/file/718075478689. Accessed January 21, 2021.
- Johannessen, S.C., Macdonald, R.W., Burd, B., van Roodselaar, A., and Bertold, S. 2015. Local environmental conditions determine the footprint of municipal effluent in coastal waters: A case study in the Strait of Georgia, British Columbia. Science of the Total Environment 508: 228-239.
- Kazmiruk T.N., Kazmiruk V.D., and Bendell, L.I. 2018. Abundance and distribution of microplastics within surface sediments of a key shellfish growing region of Canada. PLoS ONE 13(5): e0196005. https://doi.org/10.1371/journal.pone.0196005.
- Kimbrough, K.L., Johnson, W.E., Lauenstein, G.G., Christensen, J.D., and Apeti, D.A. 2008. An assessment of two decades of contaminant monitoring in the nation's coastal zone. Silver Spring, MD. NOAA Technical Memorandum NOS NCCOS 74. 105 pp.
- Kimbrough, K.L., Johnson, W.E., Lauenstein, G.G., Christensen, J.D., and Apeti, D.A. 2009. An assessment of polybrominated diphenyl ethers (PBDEs) in sediments and bivalves of the U.S. coastal zone. Silver Spring, MD. NOAA Technical Memorandum NOS NCCOS 94. 87 pp.
- King County. 2018. An Evaluation of Potential Impacts of Chemical Contaminants to Chinook Salmon in the Green-Duwamish Watershed. Prepared by Jenée Colton, Water and Land Resources Division. Seattle, Washington for the WRIA 9 Watershed Ecosystem Forum. https://www.tacoma.uw.edu/center-urban-waters/sources-and-distribution-marine-microplastics.
- Krogh, J., Lyons, S., and Lowe, C.J. 2017. Pharmaceuticals and personal care products in municipal wastewater and the marine receiving environment near Victoria Canada. Frontiers in Marine Science 4: 415 doi.org/10.3389/fmars.2017.00415.
- Langness, M. and West, J. 2020. Toxics Biological Observation System (TBiOS), Puget Sound Ecosystem Monitoring Program (PSEMP) Stormwater Action Monitoring 2017/18 Mussel Monitoring Survey Final Report October 2020 WDFW Report Number FPT 20-13.
- Li, M., Weis, D., Smith,E., Shiel, A.E., Smith, W.D., Hunt, B.P., Torchinsky, A., and Pakhomov, E.A. 2020. Assessing lead sources in fishes of the northeast Pacific Ocean. Anthropocene 29: 100234. ISSN 2213-3054. https://doi.org/10.1016/j.ancene.2019.100234.
- Lowe, C. Lyons, S., Krogh, J. 2017. Pharmaceuticals and Personal Care Products in Municipal Wastewater and the Marine Receiving Environment Near Victoria Canada. Frontiers in Marine Science. 4. 10.3389/fmars.2017.00415.
- Lundin, J.I., Ylitalo, G.M., Booth, R.K., Anulacion, B., Hempelmann, J.A., Parsons, K.M., Giles, D.A., Seely, E.A., Hanson, M.B., Emmons, C.K., and Wasser, S.K. 2016. Modulation in Persistent Organic Pollutant Concentration and Profile by Prey Availability and Reproductive Status in Southern Resident Killer Whale Scat Samples. Environ Sci Technol 50(12):6506-16. doi: 10.1021/acs.est.6b00825.
- Lundin, J.I., Ylitalo, G.M., Giles, D.A., Seely E.A., Anulacion, B.F., Boyd, D.T., Hempelmann, J.A., Parsons, K.M., Booth, R.K., and Wasser, S.K. 2018. Pre-oil spill baseline profiling for contaminants in Southern Resident killer whale fecal samples indicates possible exposure to vessel exhaust. Marine Pollution Bulletin 136:448-453.
- Martinelli, J.C., Phan, S., Luscombe, C.K., and Padilla-Gamino, J.L. 2020. Low incidence of microplastic contaminants in Pacific oysters (Crassostrea gigas Thunberg) from the Salish Sea, USA. Science of the Total Environment 715:136826.
- Meador, J. 2013. Do chemically contaminated river estuaries in Puget Sound (Washington, USA) affect the survival rate of hatchery-reared Chinook salmon? Canadian Journal of Fisheries and Aquatic Sciences volume 71; December 2013. https://doi.org/10.1139/cjfas-2013-0130.
- Meador JP, Yeh A, Young G, Gallagher EP. 2016. Contaminants of emerging concern in a large temperate estuary. Environ Pollut. 213:254-267.
- Meador, J., Bettcher, L., Ellenberger, M.C., Senn, T.D. 2020. Metabolomic profiling for juvenile Chinook salmon exposed to contaminants of emerging concern; Science of The Total Environment, Volume 747.
- Miller, A., Elliott, J.E., Elliott, K.H., Guigueno, M.F., Wilson, L.K., Lee, S., and Idrissi, A. 2015a. Brominated flame retardant trends in aquatic birds from the Salish Sea region of the west coast of North America, including a mini-review of recent trends in marine and estuarine birds. Science of the Total Environment 502:60-69.
- Miller A., Elliott, J.E., Eliott, K.H., Lee, S., and Cyr, F. 2015b. Temporal trends of perfluoroalkyl substances (PFAS) in eggs of coastal and offshore birds: increasing PFAS levels associated with offshore bird species breeding on the Pacific coast of Canada and wintering near Asia. Environmental Toxicology and Chemistry 34:1799-1808.
- Minick, D.J., Paulik, L.B., Smith, B.W., Scott, R.P., Kile, M.L., Rohlman, D., and Anderson, K.A. 2019. A passive sampling model to predict PAHs in butter clams (Saxidomus giganteus), a traditional food source for Native American tribes of the Salish Sea Region. Marine Pollution Bulletin 145:28-35.
- Mongillo, T.M., G.M. Ylitalo, L.D. Rhodes, S.M. O’Neill, D.P. Noren, and M.B. Hanson. 2016. Exposure to a mixture of toxic chemicals: Implications for the health of endangered Southern Resident killer whales. U.S. Dept. Commer., NOAA Tech. Memo. NMFS-NWFSC-135, 107 p. doi:10.7289/V5/TM-NWFSC-135.
- Morales-Caselles, C., Desforges, J.W., Dangerfield, N. et al 2017. A Risk-Based Characterization of Sediment Contamination by Legacy and Emergent Contaminants of Concern in Coastal British Columbia, Canada. Arch Environ Contam Toxicol 73, 270–284 (2017). https://doi.org/10.1007/s00244-017-0403-z.
- Munier B, Bendell LI. 2018. Macro and micro plastics sorb and desorb metals and act as a point source of trace metals to coastal ecosystems. PLoS One. 13(2):e0191759.
- Napper, I.E., and R.C. Thompson. 2020. Plastic debris in the marine environment: history and future challenges. Global Challenges, 1900081. DOI: 10.1002/gch2.201900081.
- Nautilis Environmental (Nautilis), 2009. Metro Vancouver Ambient Burrard Inlet Monitoring Program Fish Health Survey – 2007 Monitoring Program. Submitted to Metro Vancouver by Nautilis Environmental, Burnaby, BC. 118 pages + appendices.
- Ohlberger, J., Schindler, D. E., Ward, E. J., Walsworth, T. E., & Essington, T. E. (2019). Resurgence of an apex marine predator and the decline in prey body size. Proceedings of the National Academy of Sciences of the United States of America, 116(52), 26682–26689. Advance online publication. https://doi.org/10.1073/pnas.1910930116.
- O’Neill, S.M., Carey, A.J., Lanksbury, J.A., Niewolny, L.A., Ylitalo, G., Johnson, L., and West, J.E. 2015. Toxic contaminants in juvenile Chinook salmon (Oncorhynchus tshawytscha) migrating through estuary, nearshore and offshore habitats of Puget Sound. Washington Fish and Wildlife Report FPT 16-02. https://wdfw.wa.gov/sites/default/files/publications/01796/wdfw01796.pdf
- O’Neill, S., Carey, A., Hobbs, W. 2020. Persistent Organic Pollutant Sources and Pathways to Juvenile Steelhead Trout in the Nisqually River. Washington Department of Fish and Wildlife Washington Department of Ecology Final Contract Report Submittted to the Nisqually Tribe. WDFW Report Number FPT 20-12.
- Rae, A., Whitney, E., Herrmann, K., Ehlebracht, M., Cunningham, M., Loehr, L., Mearns, A. 2015. Snohomish MRC Mussel Watch Data Progress Report, March 30, 2015. https://www.snocomrc.org/media/1319/mussel-watch-report-2014.pdf.
- Ross, P.S., M. Noël, D. Lambourn, N. Dangerfield, J. Calambokidis, and Jeffries, S. 2013. Declining concentrations of persistent PCBs, PBDEs, PCDEs, and PCNs in harbor seals (Phoca vitulina) from the Salish Sea. Progress in Oceanography 115:160-170.
- Shiel, A.E., Weis, D., Orians, K.J. 2012. Tracing cadmium, zinc, and lead sources in bivalves from the coasts of western Canada and the USA using isotopes. Geochemica et Cosmochemical Acta 76:175-190.
- Tian, Z., Peter, K.T., Gipe, A.D., Zhao, H., Hou, F., Wark, D.A., Khangaonkar, T., Kolodziej, E.P., and James, C.A. 2020. Suspect and Nontarget Screening for Contaminants of Emerging Concern in an Urban Estuary. Environmental Science & Technology 2020 54 (2), 889-901. DOI: 10.1021/acs.est.9b06126.
- Tchounwou P.B., Yedjou C.G., Patlolla A.K., Sutton D.J. (2012) Heavy Metal Toxicity and the Environment. In: Luch A. (eds) Molecular, Clinical and Environmental Toxicology. Experientia Supplementum, vol 101. Springer, Basel. https://www.ncbi.nlm.nih.gov/pmc/articles/PMC4144270/.
- United States Environmental Protection Agency. 2017. Technical Fact Sheet – Polybrominated Diphenyl Ethers (PBDEs). EPA 505-F-17-015. https://www.epa.gov/sites/production/files/2014-03/documents/ffrrofactsheet_contaminant_perchlorate_january2014_final_0.pdf.
- United States Environmental Protection Agency. 2019. Plastics: Material-Specific Data. Last updated October 30, 2019. Available online at: https://www.epa.gov/facts-and-figures-about-materials-waste-and-recycling/plastics-material-specific-data.
- Waldichuk, M. 1983. Pollution in the Strait of Georgia: a Review. Can J. Fish. Aquat. Sci. 40:1142-1167.
- Washington Department of Ecology. 2013. Fish Consumption Rates. Technical Support Document: A review of data and information about fish consumption in Washington Version 2.0 Final. Publication No. 12-09-058. http://www.ecy.wa.gov/biblio/1209058.html.
- Washington Department of Ecology, Stormwater Strategic Initiative. 2020. Narrative – Draft 9/11/2020. Toxics In Fish Implementation Strategy. Washington Department of Ecology, Washington Department of Commerce and Washington Stormwater Center. Accessed on September 25, 2020 from: https://pspwa.app.box.com/s/q1rueyrajn7kgp7gfkal65k0h87cwcpx.
- Washington Department of Health. (n.d.). Healthy Fish Guide. Retrieved July 23, 2020, from https://www.doh.wa.gov/communityandenvironment/food/fish/healthyfishguide
- Wasser SK, Lundin JI, Ayres K, Seely E, Giles D, Balcomb K, et al. (2017) Population growth is limited by nutritional impacts on pregnancy success in endangered Southern Resident killer whales (Orcinus orca). PLoS ONE 12(6): e0179824. https://doi.org/10.1371/journal.pone.0179824.
- West, J., O’Neill, S.M., and Ylitalo, G.M. 2017. Time trends of persistent organic pollutants in benthic and pelagic indicator fishes from Puget Sounds, Washington, USA. Arch Environ Contam Toxicol 73, 207–229 (2017). https://doi.org/10.1007/s00244-017-0383-z.
- West, J.E., Carey, A.J. Ylitalo, G.M., Incardona, J.P., Edmunds, R.C., Sloan, C.A., Niewolny, L.A., Lanksbury, J.A., O’Neill, S.M. 2019. Polycyclic aromatic hydrocarbons in Pacific herring (Clupea pallasii) embryos exposed to creosote-treated pilings during a piling-removal project in a nearshore marine habitat of Puget Sound. Marine Pollution Bulletin 142:253-262.
- WHO/UNEP, 2013. State of the science of endocrine disrupting chemicals – 2012. An assessment of the state of the science of endocrine disruptors prepared by a group of experts for the United Nations Environment Programme (UNEP) and the World Health Organization. Edited by Åke Bergman, Jerrold J. Heindel, Susan Jobling, Karen A. Kidd, and R. Thomas Zoeller. https://www.who.int/ceh/publications/endocrine/en/.
- Government of Canada (2020). Polybrominated diphenyl ethers (PBDEs) - information sheet. Retrieved March 2021 from https://www.canada.ca/en/health-canada/services/chemical-substances/fact-sheets/chemicals-glance/polybrominated-diphenyl-ethers-public-summary.html.
- US EPA (2020). Metals – Overview. CADDIS Volume 2. Retrieved March 2021 from https://www.epa.gov/caddis-vol2/metals.
- USEPA (2020). Learn about Polychlorinated Biphenyls (PCBs). Retrieved March 2021 from https://www.epa.gov/pcbs/learn-about-polychlorinated-biphenyls-pcbs.
- USEPA (2020). Contaminants of Emerging Concern including Pharmaceuticals and Personal Care Products. Retrieved March 2021 from https://www.epa.gov/wqc/contaminants-emerging-concern-including-pharmaceuticals-and-personal-care-products.
- USEPA (2021). Basic Information on PFAS | Per- and Polyfluoroaklyl Substances (PFAS). Retrieved January 2021 from https://www.epa.gov/pfas/basic-information-pfas.
- World Health Organization (2016). Dioxins and their effects on human health. Retrieved March 2021 from https://www.who.int/news-room/fact-sheets/detail/dioxins-and-their-effects-on-human-health.
- American Chemistry Council (2005). How Plastics Are Made. Retrieved in February 2020 from https://plastics.americanchemistry.com/How-Plastics-Are-Made/.
- NOAA (2021). What are microplastics? Retrieved March 2021 from https://oceanservice.noaa.gov/facts/microplastics.html.
- Ocean Wise Conservation Association (2018). Microplastics. Retrieved April 2020 from https://oceanwatch.ca/bccoast/clean-water/microplastics/.
- University of Washington Puget Sound Institute (2018). Building a library of microplastics in the Salish Sea. Retrieved January 2020 from https://www.pugetsoundinstitute.org/2018/08/building-a-library-of-microplastics-in-the-salish-sea/.
- Government of Canada (2013). Mercury in the food chain. Retrieved March 2021 from https://www.canada.ca/en/environment-climate-change/services/pollutants/mercury-environment/health-concerns/food-chain.html.
- USEPA (2013). Contaminants of Emerging Concern (CECs) in Fish: Pharmaceuticals and Personal Care Products. Retrieved February 2021 from https://www.epa.gov/sites/production/files/2018-11/documents/cecs-ppcps-factsheet.pdf.
- USEPA (2021). EPA EcoBox Tools by Exposure Pathways – Food Chains. Retrieved March 2021 from https://www.epa.gov/ecobox/epa-ecobox-tools-exposure-pathways-food-chains.
- Government of Canada (2020). Canada’s Dietary Guidelines. Retrieved January 2021 from https://food-guide.canada.ca/en/guidelines/.
- U.S. Department of Health and Human Services and U.S. Department of Agriculture. (2015). 2015–2020 Dietary Guidelines for Americans. 8th Edition. December 2015. Retrieved January 2021 from https://health.gov/sites/default/files/2019-09/2015-2020_Dietary_Guidelines.pdf.
- Commission for Environmental Cooperation of North America (2011). North American Strategy for Catalyzing Cooperation on Dioxins and Furans, and Hexachlorobenzene. Retrieved January 2021 from http://www3.cec.org/islandora/en/item/10148-north-american-strategy-catalyzing-cooperation-dioxins-and-furans-and-en.pdf.
- Government of British Columbia, Ministry of Environment and Climate Change Strategy (2019). Plastics Action Plan: Policy Consultation Paper. Retrieved December 2020 from https://cleanbc.gov.bc.ca/app/uploads/sites/436/2019/07/CleanBC_PlasticsActionPlan_ConsultationPaper_07252019.pdf
- Government of Canada (2021). Toxic Substance List: PFOS. Retrieved February 2021 from https://www.canada.ca/en/environment-climate-change/services/management-toxic-substances/list-canadian-environmental-protection-act/perfluorooctane-sulfonate.html.
- Secretariat of the Stockholm Convention (2019). The 12 initial POPs under the Stockholm Convention. Retrieved February 2020 from http://chm.pops.int/TheConvention/ThePOPs/The12InitialPOPs/tabid/296/Default.aspx.
- USEPA (2017). Assessing and Managing Chemicals under TSCA - Polybrominated Diphenyl Ethers (PBDEs). Retrieved November 2020 from https://www.epa.gov/assessing-and-managing-chemicals-under-tsca/polybrominated-diphenyl-ethers-pbdes#concern.
- USEPA (2020). International Cooperation - Persistent Organic Pollutants: A Global Issue, A Global Response. Retrieved November 2020 from https://www.epa.gov/international-cooperation/persistent-organic-pollutants-global-issue-global-response.
- Commission for Environmental Cooperation of North America (2003). DDT no longer used in North America [fact sheet]. Retrieved January 2021 from http://www3.cec.org/islandora/en/item/1968-ddt-no-longer-used-in-north-america.
- Tchounwou, P. B., Yedjou, C. G., Patlolla, A. K., & Sutton, D. J. (2012). Heavy metal toxicity and the environment. Experientia supplementum (2012), 101, 133–164. https://doi.org/10.1007/978-3-7643-8340-4_6.
- Einhorn, C. (2020). “How Scientists Tracked Down a Mass Killer (of Salmon)” New York Times article. December 3, 2020. Retrieved March 2021 from https://www.nytimes.com/2020/12/03/climate/salmon-kill-washington.html?smid=em-share.
- Ocean Wise Conservation Association and World Wildlife Fund Canada (2019). Great Canadian Shoreline Cleanup: 2018 Annual Report. Retrieved March 2020 from https://www.shorelinecleanup.ca/storage/resources/gcsc-2018annualreport-190416.pdf.
- Hightower, C. (2018). Boundary Bay ambient monitoring program. 2018 Salish Sea Ecosystem Conference. Retrieved May 2020 from https://cedar.wwu.edu/cgi/viewcontent.cgi?article=2453&context=ssec.
- Johnson, R., Aylward M., Rosen G., Strivens, J., Schlafer, N., Colvin, M., Brandenberger, J., Caswell, P. (2018). Ambient monitoring to inform the protection of beneficial uses and achieve water quality goals in Sinclair Dyes Inlets, Puget Sound, WA. 2018 Salish Sea Ecosystem Conference. Retrieved May 2020 from https://cedar.wwu.edu/cgi/viewcontent.cgi?article=2994&context=ssec.






